April 07, 2021

How to Quickly Estimate a Patent's Value Using Discounted Cash Flow

6 min

At the end of the day a business should be able to assign an approximate worth to its patent portfolio. However, How much is a patent worth? is a question that can be very difficult to answer, and can result in multi-million-dollar litigation decisions, or patent applications being abandoned before they even issue.

What follows is a basic primer on using Discounted Cash Flow (DCF) analysis with regard to patents and/or patent applications to estimate value. DCF can be used to approximate the current value for an investment based on projections of how much money that investment will likely provide in the future. If a value calculated using DCF is higher than the current cost of an investment, an investor should consider making the investment. Only in unique circumstances should an investor consider an investment that does not have a (DCF – costs) > 0. With patents there may be various reasons to continue forward, even when the DCF calculation is lower than current costs (e.g., defensive purposes, appearances for investors, appeasing inventors). However, the DCF calculation should be a point of consideration in making that decision.

Consider the following examples:

  1. If the costs associated with obtaining a patent (including filing and prosecution fees through issuance) were $15,000, and the expected cash flows from that patent over the next 20 years, adjusted for the investor's rate of return (i.e., the DCF calculation), were $500,000, this would be a clear indication that filing and prosecuting the patent application should be considered.
  2. If the costs were estimated at $20,000, and the DCF calculation were $10,000, from a financial standpoint filing the patent application likely does not make investment sense.
  3. Maintenance fees for an already issued patent at the 11.5-year mark are currently $7,700. If the DCF calculation for an issued patent approaching the 11.5-year mark is less than $7,700, that should factor into the overall decision.
The Formula

* Disclaimer: The DCF calculation can become significantly more complicated, incorporating aspects such as growth, inflation, risk, etc. This primer does not go into any such details.

The basic formula for DCF is:

How to Quickly Estimate a Patent's Value Using Discounted Cash Flow - Formula 1

where

  • CF is the expected Cash Flow for a given time period;
  • r is the Discount Rate, or, more often, the Weighted Average Cost of Capital (WACC); and
  • n is the number of terms, based on the remaining amount of time the investment/patent will be active.

While we could break the time periods down into months or even weeks, the easiest and most straightforward time period to use is years. If, for example, a patent application has 18 years left, n = 18, whereas if a granted patent expires in 5 years, n = 5.

The cash flows can be estimates of net revenues from licensing deals, litigation wins, related product sales, etc. When deciding what values to use, standard apportionment practices can (and should) be used with respect to how much the claimed subject matter of a patent applies to the product(s) in play. While guesswork may be necessary, it is best to base the projected cash flows on previous or known revenues. For example, if the patent is related to widget A, which has had an average net revenue of $10,000/year for the past 5 years, the expected cash flows going forward should be based on that $10,000/year average. If the patent is related to more than one product, the sum of those cash flows can be used for any given time period.

R, the Discount Rate or the Weighted Average Cost of Capital (WACC), represents the rate of return the investor can expect on their investment. The minimum R value generally represents the bond rates of U.S. treasuries. However, for a business, R should be the WACC. If your business has a chief financial officer or the equivalent, you should be able to ask them for the WACC. If there is no CFO, you have two options: (1) look up the formula and calculate the WACC yourself, or (2) decide what rate of return you desire and use that as R. If, for example, a solo inventor averages 5% returns on their index fund, but is considering making an investment in a patent, they might use R = 5%.

Practical Example #1 – Maintenance Fees

A patent is expiring in 10 years, with upcoming maintenance costs of $7,700. The product associated with the patent has brought in a net revenue of $5,000/year for the past 3 years. The discount value R is 5%.

How to Quickly Estimate a Patent's Value Using Discounted Cash Flow - Formula 2

Because $38,608.67 minus $7,700 is greater than zero, from an investment standpoint paying the maintenance fees seems to make sense.

If, however, the average net revenue had been only $1,000/year,

How to Quickly Estimate a Patent's Value Using Discounted Cash Flow - Formula 3

In this case, the DCF value is only barely above the cost of maintenance fees. In such a case the investment opportunity is essentially zero, so the owner should make the decision based on other, nonfinancial factors.

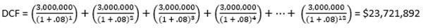
Practical Example #2 – M&A Deal

As part of an M&A deal, the value of a patent portfolio of 500 patents is being determined. Rather than evaluating all 500 individual patents for validity, possible litigation targets, etc., the entities have agreed to use the overall average net revenues associated with the entire patent portfolio through licensing, patent sales, and/or litigation by the company being acquired for the past 10 years, at $3 million/year. They have also decided to use the average remaining time of the patents within the portfolio, which for this example will be 12 years.

The WACC for the acquiring company is 8%.

How to Quickly Estimate a Patent's Value Using Discounted Cash Flow - Formula 4

However, the WACC for the company being acquired is 10%.

How to Quickly Estimate a Patent's Value Using Discounted Cash Flow - Formula 5

The discrepancy in how the respective companies value this patent portfolio is based entirely on their respective efficiencies, expressed through the differences in WACC. Despite the differences, these numbers provide a starting point for negotiations.

Practical Example #3 – Variable Cash Flows

While the above examples provide calculations where the cash flows are constant from year to year, in some cases the cash flows associated with a patent may be projected as changing based on products being sold, settlements, new licensing deals, expiration of licensing deals, or any number of factors. If, for example, a product associated with a patent is scheduled to be phased out prior to the patent's expiration because of the product's declining sales, the DCF cash flows associated with that patent might look like this (assuming a remaining time of 6 years in the patent):

  Year 1 Year 2 Year 3 Year 4 Year 5 Year 6
Cash Flow $5,000 $4,000 $1,500 0 0 0

In such an example, the DCF equation (assuming R = 5%) would be:

How to Quickly Estimate a Patent's Value Using Discounted Cash Flow - Formula 6

Likewise, if a new product associated with a patent expiring in 6 years were going to be released in year 2, with hopes/projections of increasing revenue, the cash flows might look like this:

  Year 1 Year 2 Year 3 Year 4 Year 5 Year 6
Cash Flow 0 $3,000 $4,000 $5,000 $7,000 $9,000

In such an example, the DCF equation (again assuming R = 5%) would be:

How to Quickly Estimate a Patent's Value Using Discounted Cash Flow - Formula 7

Conclusion

While the value of a patent can vary according to projections, parties, and circumstances, calculating the DCF for a patent, or for a potential patent application, can be a useful tool in estimating the value of a patent or patent application. If the calculated DCF of the patent does not match the associated costs of maintaining or obtaining a patent, an investor/inventor/in-house counsel should consider whether there are other reasons, such as maintaining a defensive portfolio, for maintaining/obtaining the patent.